O pesquisador do Departamento de Engenharia e Meio Ambiente do Centro de Ciências Aplicadas e Educação da Universidade Federal da Paraíba (UFPB), Rafael Raimundo, alerta para medidas que evidenciem o isolamento social diante da expansão de registros da pandemia de Covid-19 em cidades do Nordeste.
Em duas semanas, o número de casos da doença na Paraíba mais que triplicou e a adoção de medidas como contratar médicos intensivistas, regular vagas em UTI e planejar lockdown tem sido recomendações urgentes do Comitê Científico do Consórcio Nordeste no combate ao novo coronavírus (SARS-CoV-2), do qual participa.
De acordo com dados divulgados pelo comitê, houve crescimento acelerado de contágio em todo o Brasil, aumento no número de mortos e colapso nos sistemas de saúde. Além disso, a pandemia tem revelado a precariedade dos órgãos de saúde, de infraestrutura e de saneamento, bem como o alto risco de contágio nas periferias brasileiras.
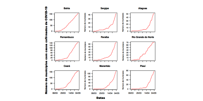
“Infelizmente, as simulações mostram que os picos do número diário de novos casos e de mortes não serão atingidos antes do mês de junho. A disseminação geográfica pelo interior do Nordeste, por exemplo, tem sido muito rápida. Em 24 de abril tínhamos cerca de 440 registros de municípios. Hoje, há dados de 922 cidades. Mais que dobrou em duas semanas e é um aspecto preocupante”, revela o professor Raimundo.

Até esta segunda-feira (4), 874 municípios nordestinos (49%) já tinham casos confirmados. Apenas 5% dessas localidades possuíam mais que 50 registros da doença. “Cidades populosas do interior começam a superar o número de 50 pacientes. O aumento do número de casos nesses municípios populosos do interior contribui para a propagação geográfica da pandemia”, acentua Raimundo.
Para Raimundo, é um momento muito crítico. “É necessário reforçar a conscientização para seguir as medidas recomendadas pelas organizações de saúde pública em relação ao isolamento social. Daqui a três ou quatro semanas, se não adotarem essas medidas, o número de casos vai acelerar e haverá um colapso gigante no sistema de saúde”, adverte.
De acordo com o pesquisador, as cidades do interior possuem um quantitativo reduzido de leitos para tratamento de saúde se comparadas com municípios mais centrais e “a capacidade de atendimento será mais reduzida do que, por exemplo, cidades como João Pessoa e Campina Grande”. Segundo ele, “agora é a hora de darmos uma guinada em relação a essa situação e conscientizar-se dos cuidados para que não haja um crescimento exacerbado de casos ao mesmo tempo em todos os municípios”.
O triplo de casos na Paraíba, conforme o professor, revela que há um relaxamento da população no que diz respeito às medidas de proteção. “Estávamos com números mais estáveis em relação a outros estados do Nordeste. No entanto, em duas semanas, o número de municípios com casos de Covid-19 no estado mais que triplicou. As pessoas estão relaxando o isolamento social e precisam entender que é uma posição estratégica e científica para melhoria da saúde de todos”.
Nesse sentido, Raimundo enfatiza a importância de evitar “uma catástrofe humanitária sem precedentes na história do Brasil” e a necessidade de conscientização para ampliar o distanciamento social.
“Vale destacar o caso da Suécia. Ao contrário de seus vizinhos da região da Escandinávia, o país não adotou medidas de distanciamento social no início da pandemia. Como consequência, a Suécia hoje apresenta um número de óbitos oito vezes maior que Dinamarca e Noruega”, ressalta o pesquisador.
Mais recomendações
Segundo o Comitê Científico do Consórcio Nordeste no combate à Covid-19, as medidas que devem ser reforçadas, além da manutenção do distanciamento social, dizem respeito à desinfecção de locais públicos e postos rodoviários, uso emergencial de ventiladores de salas cirúrgicas, uso do aplicativo Monitora Covid-19 e ampliação do aporte financeiro para as Fundações de Amparo à Pesquisa do Nordeste.
Também há de se reforçar ações contra o uso de Cloroquina e Hidroxicloroquina nos pacientes com o novo coronavírus (SARS-CoV-2), na ampliação de colaboradores para o Projeto Mandacaru e em favor da utilização de oxímetros portáteis pelos agentes de saúde com o objetivo de detectar comprometimento pulmonar dos pacientes já nas comunidades onde atuam.
Escrito por: Edney Oliveira
